使用“扫一扫”即可将网页分享至朋友圈。
涨知识了!一文盘点场外期权的点点滴滴
导言:本文首先介绍了场外期权的定义、发展流程、历史规模,其次说明了场外期权的业务形式和定价方式,最后介绍了我国的农产品期权市场情况。场内期权与场外期权应该相辅相成,共同推进农产品期权市场发展。
本文来自扑克智咖王聪颖,由扑克财经App授权发布,并在扑克财经App上发布。如需转载,请联系原作者。更多精彩内容,请下载扑克财经App(iOS及安卓版本均可下载)。
2017年国内场外期权呈现井喷式发展局势。根据中国期货业协会统计数据显示,2017年1-6月份场外期权新增名义金额为368亿元,同比增长622%,7月份单月规模达到436亿元,超过前半年总数之和。截止2017年年底,全年场外期权交易名义金额将近1900亿元,累计开仓达到3500笔。2018年延续前一年的发展趋势,交易规模持续增加,业务创新层出不穷,吸引更多客户加入到场外期权的市场中,此外,国家政策给予支持,推动其更好更快发展。
1
定义
期权:期权是一种合约,赋予持有人在某一特定日期或者该日之前的任何时间以固定的价格购买或售出一种资产的权利。持有期权方只享有权利而不承担义务。按照期权的权利划分,有看涨期权和看跌期权;按照行权时间划分,有欧式期权、美式期权和百慕大式期权。2015年2月9日,上证50ETF期权在上海证券交易所上市,这是我国第一只场内期权品种。不仅宣告中国期权时代的到来,同时也表明我国已经拥有全套主流的金融衍生品。2017年3月31日,豆粕期权作为我国首只期货期权在大连商品交易所上市,之后4月19日,白糖期权在郑州商品交易所上市。
场外交易衍生品市场:场外交易(OTC),是指衍生品交易由买卖双方通过一台电话或计算机网络直接交易,没有通过交易所。衍生品是指一种金融合同(一般是双边合同),其价值是由其它资产、指数、事件或条件衍生出来的。最常见的金融衍生品包括远期、互换、期权、结构性产品。
场外期权(OTC options):是指在非集中性的交易场所进行的非标准化的金融期权合约的交易。场内期权和场外期权的区别主要体现在期权合约是否标准化。场内期权更加标准,而场外期权的行使价及到期日,均可由交易双方自由协定。场外期权涉及买方、卖方及经纪三个参与者,或者仅有买卖双方。场外期权市场的透明度较低,投资银行或者机构投资者可能比较清楚内部市场交易情况,一般散户投资者很难得知场外期权的交易情况。
2
发展历程
期权交易起始于十八世纪后期的美国和欧洲市场。由于制度不健全等因素,期权交易的发展一直受到抑制。18世纪中叶,欧洲出现了有组织的农产品期权交易,英国1860年废除认为期权是非法的《巴纳德法》,这期间场外交易一直存在。18世纪末,美国出现了场外交易的股票期权,逐渐形成了期权经纪商与自营商协会。1973年,芝加哥期货交易所(CBOT)历时5年投入大量研发费后,于4月26日成立了全球首家期权交易所——芝加哥期权交易所(CBOE),场内期权由此诞生。到4月底,场内日交易量迅速超过场外。美国衍生品市场由期货市场、期权市场和场外交易市场(OTC)构成,场内市场往往交易量占优势,场外市场交易额占优势。
全球场外衍生品市场在1998至2007年间发展迅猛,名义本金增长约8倍,年复合增长率约26%。2008年次贷危机爆发后,场外衍生品规模趋于稳定并于2014年大幅下降。2015上半年,场外衍生品交易萎缩,场外期权规模却大幅上升。截至2016年上半年,全球场外衍生品名义本金规模达544.052万亿美元,约为场内衍生品规模的8倍。
期权交易主要以场外为主,早期场外期权规模曾是场内期权的2.5倍以上,1998年至2016年场外期权占比平均为63%,始终高于场内期权。场外期权规模2001年起逐渐下降,但至今仍围绕1.5倍于场内规模上下波动。而从增长率来看,场外期权比场外衍生品整体规模的变化波动更加剧烈。2008年下半年次贷危机令场外期权规模下降幅度高达25.17%。
2013年,我国首只场外期权诞生,2015年,黄金实物期权和上证50ETF期权相继推出,标志着我国期权市场的逐步成型。特别是上证50ETF期权,是国内首只场内期权品种,这不仅宣告中国期权时代的到来,也意味着我国已拥有全套主流金融衍生品。2017年3月、4月豆粕期权、白糖期权分别在大商所、郑商所上市,填补了国内商品期货期权市场的空白,给期货市场服务实体经济也奠定基础,提供了新的衍生工具。
3
市场规模
1.全球场外期权规模
全球衍生品市场主要以场外交易为主。根据国际清算银行数据显示,2017年1-6月份场外衍生品所有合约未平仓名义本金为542.43万亿美元。自1998年6月到2017年6月,场外衍生品市场飞速发展,名义本金增长约为6.5倍,年复合增长率约为10.89%。自2008年金融危机后,衍生品规模和增长率有所下降,国际清算银行分析称近几年名义本金规模下降的主要原因是由于合约压缩而导致交易的减少,而名义本金的减少也使得市场价值减少。在2015年,场外期权规模大幅上升,但衍生品总规模却下降,因此占比在这一年出现转折。从增长率来看,场外期权的波动率高于衍生品整体。
场内衍生品中,期权占比高于期货,但在场外衍生品中,期权占比较低。2017年1-6月,在全球场外衍生品中,期权品种仅占比9.56%;在期权中,利率期权品种占比最高,为71.29%。
以场外股票类及商品类衍生品期权为例,其参与者主要包括其他金融机构、非金融机构和交易商。自1998年6月到2018年6月,这三者占比情况如下所示,可知参与者中非金融机构占比最高,其次是交易商,最后是金融机构。在2015年,交易商未平仓名义本金超过非金融机构。
2.中国场外期权规模
2013年8月19日,我国首只券商场外期权诞生,之后逐步发展,和全球场外期权交易规模相比,我国场外期权发展规模还比较小。自2014年12月到2018年3月,场外期权规模有所发展,尤其在2016年6月份,初始名义本金达到最高值1223.03亿元,此外,交易笔数在2017年有飞跃提升,在2018年1月达到最高值3445笔。场外期权和场外互换相比,之前互换占比较大,现在场外期权已经超过互换,在场外衍生品中的占比越来越高。可见,我国场外期权发展空间还很广。
4
业务形式
1.交易流程
交易前签署协议,包括材料清单和协议清单。材料清单包括营业执照副本复印件、税务登记证复印件、法定代表人身份证复印件、组织机构代码证副本复印件等;协议清单包括场外衍生品主协议、场外衍生品补充协议、交易风险揭示书、投资者适当性调查问卷、签约代理人授权书等。
具体流程包括:
1. 交易前询价:合同签订、日常报价、客户指定期权询价;
2. 报价交易:销售人员电话确认交易意向、交易员进行实时报价、下单/交易达成;
3. 场内对冲:交易员对场外期权头寸进行场内对冲、根据定价模型确认对冲规模;
4. 交易确认:销售人员通过电话邮件向客户发送交易确认书、客户24小时内无异议默认交易达成;
5. 到期行权/提前平仓:客户在期权行权日之前可以提前平仓,重复询价报价流程、若未提前平仓,则行权日自动行权。
2.交易规则
场外期权交易规则:场外期权交易日当天九点钟以前发出的一个交易指令,放到下一个交易日再执行。执行价格为全体的均线。如果标的股票在执行当天为涨停板,那这笔交易就放到下一个交易日去执行或者说取消。场外期权交易名义本金:1万元人民币的整数倍都可以参与。场外期权交易标的范围:沪深交易所上市交易股票,其中不包含以下板块:ST板块、*ST板块,合作券商会列出的黑名单中所涉及的股票发行不满六个月的次新股。目前,沪深两市共发行3385只,理论上可做场外期权交易的数量约2500-2800只。场外期权交易合约期限:1个月;3个月;6个月;一年或以上需要和券商机构协商。场外期权权交易的权利费一般参考报价:1M(8%左右) ;3M(13%左右) ;6M(17%左右)。场外期权交易的行权方式有两种:欧式和美式。 场外期权交易的执行价格是全天均价。 场外期权交易除了特殊情况下:1、连续涨停 2、配股股息分配 3、停复牌 4、送股。
3.场外期权类型
1、标准香草式:包括看涨期权和看跌期权。
2、价差式:包括牛市价差期权和熊市价差期权。
3、二值式:包括二值看涨期权和二值看跌期权。
4、鲨鱼鳍式:包括单边鲨鱼鳍期权和双边鲨鱼鳍期权。
前两种满足公募、私募及一般投资机构的套保、杠杆交易需求。后两种满足银行、券商、公募、私募等金融机构进行保本浮动性产品设计的需求。
表 2:场外期权类型
类型 | 目标客户 | 客户需求 | 业务模式 |
看涨期权 | 标的资产潜在战略增持者 获取上涨收益的投资者 | 规避增持成本上涨 利用杠杆获取上涨收益 | 期初:客户向证券公司支付期权费 期末:若标的物价格高于行权价格,证券公司支付客户价差收益 |
看跌期权 | 对持仓进行套保的投资者 获取下跌收益的投资者 | 规避持股价值下跌风险 利用杠杆获取下跌收益 | 期初:客户向证券公司支付期权费 期末:若标的物价格高于行权价格,证券公司支付客户价差收益 |
牛市价差式 | 认为未来小幅上涨概率大 获取上涨收益并控制期权费成本 | 分享市场上涨收益且可以封顶 | 期初:客户向证券公司支付期权费 期末:若标的物价格高于行权价格,证券公司支付客户价差收益,但如果期末标的物价格超过封顶价,则客户的收益封顶 |
熊市价差式 | 认为未来小幅下跌概率大 获取下跌收益并控制期权费成本 | 分享市场下跌收益且可以封顶 | 期初:客户向证券公司支付期权费 期末:若标的物价格高于行权价格,证券公司支付客户价差收益,但如果期末标的物价格低于保护价,则客户的收益封顶 |
二值看涨期权 | 控制期权费成本 获取方向性收益的投资者 | 获取方向性收益货 嵌入到保本浮动型产品中 | 期初:客户向证券公司支付期权费用 期末:根据标的物价格在期末的涨幅范围支付给客户相对固定的收益 |
单边鲨鱼鳍期权 | 降低期权成本 博取区间上涨收益 | 获取区间上涨收益或 嵌入保本浮动型产品中 | 期初:客户向证券公司支付期权费用 期末:若标的物价格在敲出价格内相当于看涨期权,支付给客户相应价差收益;若标的物价格超出敲出价格、则仅获得固定收益 |
数据来源: 中信期货研究部
4.交易模式
1、撮合模式
经过中间商的撮合,买方和卖方形成交易,中间商从撮合交易中赚取价差,风险相对较低,但是由于场外期权产品是私人订制的,流动性差,容易出现因为买卖方的产品在行权价、到期日等合约设置上存在的差异而造成交易失败、耗费时间长、谈判成本高。
2、做市模式
做市商向投资者提供产品的买卖报价、并在该价位上接受投资者的买卖需求,用其自有资金或资产与投资者进行交易,风险较高,需要用自有资金在场内市场用现货或期货来对冲风险。因此要求做市商有较为雄厚的资金实力,但会存在资金链断裂的破产风险。
5
定价方式
期权定价的基本方法均适用于场内和场外期权。场外期权定价方法主要有三种,分别是二叉树模型、布莱克-舒克尔斯(B-S)模型和蒙特卡洛模型。
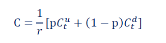
1.二叉树模型
二叉树定价模型假设股价波动只有向上和向下两个方向,且假设在整个考察期内,股价每次向上(或向下)波动的概率和幅度不变。模型将考察的存续期分为若干阶段,根据股价的历史波动率模拟出正股在整个存续期内所有可能的发展路径,并对每一路径上的每一节点计算权证行权收益和用贴现法计算出的权证价格。对于美式权证,由于可以提前行权,每一节点上权证的理论价格应为权证行权收益和贴现计算出的权证价格两者较大者。
以欧式看涨期权单期二叉树定价模型为例,其定价公式为:
其中
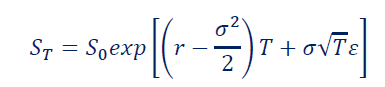
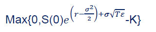
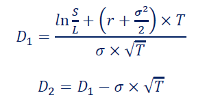
2.B-S模型
B-S模型假设条件:标的资产价格服从对数正态分布;在期权有效期内,无风险利率和金融资产收益变量是恒定的;市场无摩擦,即不存在税收和交易成本;金融资产在期权有效期内无红利及其它所得(该假设后被放弃);该期权是欧式期权,即在期权到期前不可实施。
定价公式
其中:
C—期权初始合理价格;L—期权交割价格;S—所交易金融资产现价;T—期权有效期;r—连续复利计无风险利率;σ2—年度化方差;N()—正态分布变量的累积概率分布函数
3.蒙特卡洛模型
利用风险中性的方法计算期权定价:
其中,f是期权价格,
如果标的资产服从几何布朗运动:
则在风险中性测度下,标的资产运动方程为:
对于欧式看涨期权,到期日欧式看涨期权现金流如下:
其中,K是执行价,r是无风险利率,/ud835/udf0e是标准差,/ud835/udf00是正态分布的随机变量。对到期日的现金流用无风险利率贴现,就可知道期权价格。
6
我国农产品期权
我国在农产品期权方面颁布较多文件。2016年中央一号文件:创设农产品期货品种,开展农产品期权试点。2017年中央一号文件:深入推进农产品期货、期权市场建设,积极引导涉农企业利用期货、期权管理市场风险,稳步扩大保险+期货试点。2018年中央一号文件:深入推进农产品期货期权市场建设,稳步扩大保险+期货试点,探索订单农业+保险+期货(权)试点。通过对比可以看出,中央一号文件对农产品期权的表述内容在逐年增加。目前,我国农产品场外期权种类较多,但场内期权目前只有豆粕和白糖。场内期权和场外期权应相辅相成,共同推进农产品期权市场发展。
1.豆粕期权
2017年3月31日,豆粕期权作为国内首只期货期权在大连商品交易所上市。在豆粕期权上市前,风险管理公司的场外期权业务主要通过场内期货市场进行对冲。但是单独采用期货对冲的方式会面临风险和问题。第一,期权价格受标的资产价格、行权价格、波动率等应影响,是无法全部通过期货对冲掉的。第二,当客户买入期权时,在期初只需要缴纳少量的权利金,但是如果期间豆粕价格出现快速上涨或下跌,则利用期货对冲的方式可能需要风险管理公司用自有资金追加较大额度的保证金。豆粕场内期权的推出无疑为场外期权业务提供了更加有效的对冲工具,一定程度上降低了风险管理公司在场外期权的对冲风险。场内豆粕期权上市后,场外期权报价的价差大幅缩窄,场外豆粕期权定价有明显向场内豆粕期权价格回归的趋势。随着场外期权定价效率的不断提高,市场运行质量进一步提升,风险管理的功能发挥愈加充分,将场外期权市场带入到一个良性发展循环之中。
场外市场是场内标准化市场的重要补充。第一,场内市场主要是标准化产品,标准化的期权合约流动性好,平仓容易,但由于行权价格、到期时间等相对固定,可能无法满足产业企业个性化的风险管理需求。而场外市场可以为企业量身定制期权产品,特别是对我国饲料行业来说,由于竞争激烈,饲料厂商的利润空间狭窄,更倾向于利用场外期权进行较为精准的风险管理。第二,对于大型产业客户来说,豆粕贸易量较大,如果在一个合约上一次性买入期权套保,那么很容易导致价格短期内大幅波动,进而增加企业套保成本。
2.白糖期权
2017年4月19日,白糖期权在郑州商品交易所上市交易,这是国内商品市场的第二只场内期权品种。在白糖期权上市之前,期货公司主要通过与保险公司合作,借助场外期权满足人们需要。如今场内期权出现,其价格是充分竞争的、定价效率提升,有时比场外期权更便宜。但二者是相辅相成的,场内期权上市更有利于场外期权发展。
3.玉米期权
2018年6月11日,大连商品交易所发布消息称,玉米期货期权立项申请已获得中国证监会批复同意。这意味着继豆粕、白糖期权后,我国又一个农产品期权品种有望落地,这将进一步丰富我国农产品衍生品工具,为玉米及相关产业上下游主体提供更为丰富、灵活的风险管理手段和交易策略。
2019春季FICC论坛 | 弘则弥道·扑见未来
火热报名中,扫码了解详情↓↓↓
扑克大宗产业&金融知识库搜索引擎
在扑克投资家公众号对话框 输入关键词,例如输入黄金,即可获取更多干货内容。
产品/商品
黄金 | 白银 | 镍 | 锌 | 铝 | 铅 | 锡 | 铜 | 钴 | 锂 | 黑色 | 铁矿石 | 铁合金 | 钢铁 | 废钢 | 螺纹钢 | 焦炭 | 煤炭 | 石墨|石油 | 沥青 | 页岩油 | 稀土 | 棕榈油 | 食用油 | 成品油 | 原油 | 燃料油 | 油气 | 天然气 | 油料 | 油脂 | 烯烃 | 乙烯 | 丙烯 | 甲醇 | 塑料 | PTA | PVC | 聚丙烯 | 轮胎 | 橡胶 | 棉花 | 棉纱 | 糖 | 油菜籽 | 菜籽 | 菜粕 | 谷物 | 小麦 | 饲料 | 玻璃 | 玉米 | 苹果 | 鸡蛋 | 猪 | 牛 | 咖啡 | 大豆 | 豆粕 | 淀粉 | 鱼粉
产业
港口 | 造船 | 航运 | 纸业 | 矿业 | 化工 | 有色 | 物流 | 炼化 | 煤化 | 能源 | 石化 | 5G | 畜牧 | 粮食 | 养鸡 | 养猪 | 养殖业 | 去产能 | 农产品 | 转基因 | 制造业 | 半导体 | 机器人 | 集装箱 | 贵金属 | 仓储业 | 普氏指数 | 人工智能 | 波罗的海 | 金融衍生品 | 新能源汽车
金融
美元 | 欧元 | 卢布 | 货币 | 汇率 | 利率 | 期货 | 债券 | 私募 | 杠杆 | 股灾 | 熊市 | 交易 | 信托 | 并购 | CTA | 国债期权 | ETF | 套利 | 资管 | 融资 | 反身性 | 区块链 | 衍生品 | 金融城 | 供给侧 | 亚投行 | 资本配置 | 股权投资 | 影子银行 | 跨市套利 | 分析框架 | 场外市场 | 金融市场 | 金融危机
公司/公司志
美孚 | 三星 | 力拓 | 摩根 | 3M | 三井 | 住友 | 拜耳 | 东芝 | 桥水 | 高盛 | 嘉吉 | 浦项 | 贝恩 | 杜邦 | 贡沃 | 淡马锡台积电 | 麦肯锡 | 孟山都 | 摩科瑞 | 科莱恩 | 马士基 | 巴斯夫 | 西门子 | 米其林 | 嘉能可 | 伯克希尔 | 三菱化学 | 陶氏化学 | 益海嘉里 | 皇家壳牌 | 路易达孚 | 淡水河谷 | 必和必拓 | 卡特彼勒 | 德意志银行 | 蒂森克虏伯 | 英国石油BP | 新日铁住金
人物
付鹏 | 刘鹤 | 高善文 | 郭鹤年 | 郭树清 | 宁高宁 | 彭文生 | 周金涛 | 傅海棠 | 林广茂 | 伯南克 | 凯恩斯 | 索罗斯 | 格罗斯 | 巴菲特 | 哈里伯顿 | 格林斯潘 | 查理芒格 | 杰西利弗摩尔 | 罗斯柴尔德
宏观/经济
外汇 | 关税 | 投资 | 风险 | 央行 | 降息 | 周期 | 通缩
说明:也可使用微信自带的模糊搜索功能,点击扑克投资家前台底部菜单栏,使用号内搜,输入您查找的内容,即可获得相关文章推送。教程如下↓
如果您对扑克投资家有什么建议或想法,或者您本身对某一领域、话题有独到见解,愿意写成文章(或者我们来采访您),欢迎您跟我们联系,请添加扑克作者君的微信:puoker(请务必注明公司、职务、姓名,否则将无法通过验证);或邮箱:tougao@puoke.com;或者直接抄起电话骚扰:186 1651 5893。
商务合作,请直接添加微信:leimingjames(同样,请务必注明公司、职务、姓名,否则将无法通过验证)
在追求完美的道路上,扑克永不停歇!
因为你,我们一直在努力。
你的参与,将使我们的未来更美好!
▼点击下方阅读原文,获取更多资讯
“ETF期权网”的新闻页面文章、图片、音频、视频等稿件均为自媒体人、第三方机构发布或转载。如稿件涉及版权等问题,请与
我们联系删除或处理,客服邮箱whsxe@qq.com,稿件内容仅为传递更多信息之目的,不代表本网观点,亦不代表本网站赞同
其观点或证实其内容的真实性。
- 声音提醒
- 60秒后自动更新
中国8月CPI年率2.3%,预期2.1%,前值2.1%。中国8月PPI年率4.1%,预期4.0%,前值4.6%。
08:00【统计局解读8月CPI:主要受食品价格上涨较多影响】从环比看,CPI上涨0.7%,涨幅比上月扩大0.4个百分点,主要受食品价格上涨较多影响。食品价格上涨2.4%,涨幅比上月扩大2.3个百分点,影响CPI上涨约0.46个百分点。从同比看,CPI上涨2.3%,涨幅比上月扩大0.2个百分点。1-8月平均,CPI上涨2.0%,与1-7月平均涨幅相同,表现出稳定态势。
08:00【 统计局:从调查的40个行业大类看,8月价格上涨的有30个 】统计局:从环比看,PPI上涨0.4%,涨幅比上月扩大0.3个百分点。生产资料价格上涨0.5%,涨幅比上月扩大0.4个百分点;生活资料价格上涨0.3%,扩大0.1个百分点。从调查的40个行业大类看,价格上涨的有30个,持平的有4个,下降的有6个。 在主要行业中,涨幅扩大的有黑色金属冶炼和压延加工业,上涨2.1%,比上月扩大1.6个百分点;石油、煤炭及其他燃料加工业,上涨1.7%,扩大0.8个百分点。化学原料和化学制品制造业价格由降转升,上涨0.6%。
08:00【日本经济已重回增长轨道】日本政府公布的数据显示,第二季度经济扩张速度明显快于最初估值,因企业在劳动力严重短缺的情况下支出超预期。第二季度日本经济折合成年率增长3.0%,高于1.9%的初步估计。经济数据证实,该全球第三大经济体已重回增长轨道。(华尔街日报)
08:00工信部:1-7月我国规模以上互联网和相关服务企业完成业务收入4965亿元,同比增长25.9%。
08:00【华泰宏观:通胀短期快速上行风险因素主要在猪价】华泰宏观李超团队点评8月通胀数据称,今年二、三季度全国部分地区的异常天气(霜冻、降雨等)因素触发了粮食、鲜菜和鲜果价格的波动预期,但这些因素对整体通胀影响有限,未来重点关注的通胀风险因素仍然是猪价和油价,短期尤其需要关注生猪疫情的传播情况。中性预测下半年通胀高点可能在+2.5%附近,年底前有望从高点小幅回落。
08:00【中国信通院:8月国内市场手机出货量同比环比均下降】中国信通院公布数据显示:2018年8月,国内手机市场出货量3259.5万部,同比下降20.9%,环比下降11.8%,其中智能手机出货量为3044.8万部,同比下降 17.4%; 2018年1-8月,国内手机市场出货量2.66亿部,同比下降17.7%。
08:00土耳其第二季度经济同比增长5.2%。
08:00乘联会:中国8月份广义乘用车零售销量176万辆,同比减少7.4%。
08:00央行连续第十四个交易日不开展逆回购操作,今日无逆回购到期。
08:00【黑田东彦:日本央行需要维持宽松政策一段时间】日本央行已经做出调整,以灵活地解决副作用和长期收益率的变化。央行在7月政策会议的决定中明确承诺将利率在更长时间内维持在低水平。(日本静冈新闻)
08:00澳洲联储助理主席Bullock:广泛的家庭财务压力并非迫在眉睫,只有少数借贷者发现难以偿还本金和利息贷款。大部分家庭能够偿还债务。
08:00【 美联储罗森格伦:9月很可能加息 】美联储罗森格伦:经济表现强劲,未来或需采取“温和紧缩”的政策。美联储若调高对中性利率的预估,从而调升对利率路径的预估,并不会感到意外。
08:00美联储罗森格伦:经济表现强劲,未来或需采取“温和紧缩”的政策。美联储若调高对中性利率的预估,从而调升对利率路径的预估,并不会感到意外。
08:00美联储罗森格伦:鉴于经济表现强劲,未来或需采取“温和紧缩的”政策。
08:00
热门文章
- 1.万亿市场大消息!场外期权迎来扩容窗口?容量最多可提升80%如何影响A股?这类券商或最受益
- 2.50etf期权分仓软件操作是不是实盘交易
- 3.50etf期权时间价值?50ETF期权时间价值为什么重要?
- 4.场外期权交易商增至41家!场外衍生品规模近1.5万亿元
- 5.中证协发布场外期权管理办法场外期权挂钩个股标的范围扩大
- 6.“最赚钱业务”恢复高增长!场外期权增速超五成,华泰稳居榜首,中信建投增长最快,集中度快速下滑
- 7.50etf期权自己能开户吗?50ETF期权怎么交易?
- 8.场外期权和一般期权的实质性不同在哪?
- 9.熬过50天,四大星座财源滚滚而来,学业大获丰收,禄星化禄
- 10.50ETF期权对投资者有哪些影响?






